Structure of a System
We’ve already seen what a system is—a whole made up of interdependent parts. Now we move a step further to understand its internal architecture, or what we call its structure.
Just like the framework of a building tells us how the rooms, doors, and walls are connected, the structure of a system tells us:
- What components the system has,
- How they’re linked to each other,
- And how the system connects with the outside world.
🧠 Three Fundamental Components of Any System
As per systems theory, a system consists of three key parts:
| Component | Description |
|---|---|
| 1. A Set of Elements | The basic units or entities inside the system |
| 2. A Set of Links | The relationships or interactions between elements |
| 3. Links with the Environment | Interactions between the system and things outside it |
Let’s understand each in detail.
🔹 Elements: The Building Blocks
Think of elements as the smallest units that make up a system.
- In a city, elements might be houses, roads, people, or institutions.
- In a river system, elements could be tributaries, sediments, riverbanks, etc.
From a mathematical point of view, elements are primitive terms—just like a point in geometry. We don’t define them further; we just accept them as the basic components.
📌 Important Point: The elements you identify depend entirely on the scale at which you’re observing the system.
Let’s take some examples:
| System | Elements (at different scales) |
| World Economy | Countries |
| A Country’s Economy | Firms and Organizations |
| An organization | Departments |
| A Department | People |
| A Person | Organs or Cells |
| Traffic System | Cars (each car is an element, but also a system!) |
So, you see, a car might be an element in a traffic system, but it’s also a system in itself—with engine, gears, electronics, etc.
This means:
🔁 An element can be both a part and a whole, depending on how broadly or narrowly you’re looking.
🔄 Links: The Relationships Between Elements
We’ll discuss this in more detail in the next part, but in brief:
- These are the connections or flows—of matter, energy, information—that happen between elements within the system.
For example:
- In a climate system, the link between temperature and precipitation could be through evaporation.
- In a settlement system, links might be roads, trade routes, or communication networks.
These links define the structure, because a system isn’t just about what is inside, but also how those things are connected.
🌐 Links with the Environment
A system doesn’t exist in isolation.
There are always inputs coming from the environment and outputs going out.
Examples:
- A river system receives rainfall (input) and sends out discharge into the ocean (output).
- A firm receives raw materials and sends out products.
These external links help us classify systems as open or closed, which we’ll cover in the next topic.
📉 Function and Development of a System
- Structure is about what the system contains and how it’s arranged.
- Function is about what the system does—it’s the flow or exchange that happens along the links.
- Development is about how both structure and function change over time.
Imagine a city:
- Structure: Roads, neighbourhoods, offices.
- Function: Traffic movement, economic activity.
- Development: Urban sprawl, infrastructure upgrade, gentrification.
📏 Scale Determines the Element
One of the most fascinating parts of this discussion is the idea that:
❗ The definition of an element depends on the scale at which you observe the system.
Let’s reinforce this with an example:
- At a global scale, a country is an element in the international system.
- At the national scale, that same country contains firms.
- And so on—down to the level of individual human beings, or even biological cells.
This nested, hierarchical view is very common in geography and helps us build multi-scalar models.
🧮 Mathematical Systems Theory Viewpoint
In mathematical terms: An element is a variable, not an object.
This means we don’t treat the object (e.g., a farm) as the element—we treat its attributes (e.g., size, crop type, yield) as variables.
That’s a subtle but powerful shift:
- We’re analysing characteristics, not just things.
- This makes system analysis quantifiable and logical.
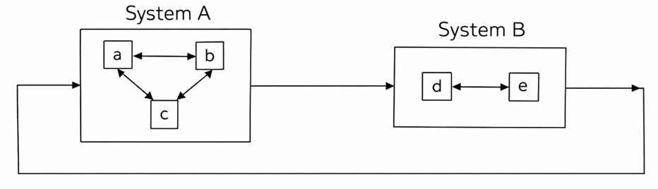
🔁 Diagrams: Blalock & Blalock’s Two Views of Interaction

Above Diagram: Shows System A and System B interacting as whole units, while internal interactions happen within each system.

Zooms in to show interactions between smaller parts of System A and B.
This visualizes how systems interact both as wholes and through their sub-parts.
🔗 What Are Links in a System?
- In any system, elements alone don’t define it—what really gives it life are the relationships or interactions between these elements.
- These are called links, and they define how one element affects another.
📌 Think of elements as nodes in a network, and links as the arrows or paths that connect them.
🧩 Three Basic Forms of Relationships
1️⃣ Series Relation
🧠 “A leads to B” — Classic cause-and-effect.
- Definition: A unidirectional and irreversible link between elements.
- Symbolically, ai → aj.
- This is the simplest form and represents the linear logic that traditional science often uses.
Example (India):
- Productivity of rice in Punjab → depends on availability of irrigation.
- Cultivation of saffron in Kashmir → depends on Karewa soil.
📝 Key Characteristics:
- Sequential.
- Easy to understand and model.
- Good for simple cause-effect chains.
🖼️ Diagram:
- One box leads to the next → ai → aj → ak.

2️⃣ Parallel Relation
🧠 “Many elements affect one, or one element affects many.”
- Definition: Occurs when multiple elements influence a single element, or vice versa.
- It’s a more complex interaction compared to series relations.
Example:
- Precipitation and temperature → both influence vegetation.
- Vegetation in turn affects rainfall patterns and temperature conditions (this part can begin to introduce feedback, too).
📝 Key Characteristics:
- Allows for multiple causes or multiple effects.
- More realistic in environmental and social systems.
🖼️ Diagram:
- Arrows from ai and ak both pointing to aj.
- Or aj branching out to multiple other elements.
3️⃣ Feedback Relation
🔁 “An element affects itself—directly or indirectly.”
- Definition: A relationship where the output of a system feeds back as an input to the same element.
- This is dynamic and introduces the self-regulating or self-reinforcing nature of systems.
Example:
- Leguminous crops (like beans or peas) enrich the nitrogen in the soil.
- Improved nitrogen levels → enhance their own productivity in the next cycle.
📝 Key Characteristics:
- Introduces loops.
- Can be positive feedback (amplifies change) or negative feedback (stabilizes system).
- Crucial in climate systems, economic systems, ecosystems, etc.
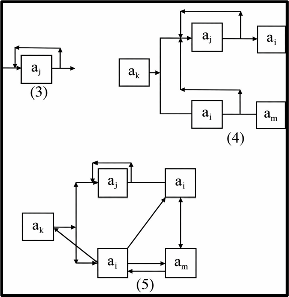
🖼️ Diagram:
- A looped arrow returning to the same element, or a cycle of arrows forming a closed circuit.
🔍 Summary
| Figure | Relationship Type | Visual Clue | Description |
| 1 | Series | ai → aj → ak | Linear, one-way influence |
| 2 | Parallel | aj → ai & ak | Many-to-one or one-to-many |
| 3 | Feedback | ai → aj → ai | Circular loop, self-influence |
| 4 | Simple Compound Relation | Mix of series + parallel | Moderate complexity |
| 5 | Complex Compound Relation | Web of interactions | High complexity, real-world-like systems |

🧠 Why Is This Important in Geography?
- Helps model natural systems like climate, hydrology, ecosystems.
- Applies to human systems: urban planning, population dynamics, economic zones.
- Teaches us how complexity emerges from simple relationships.
